欢迎访问湖北成教网 !主要为湖北成人高考考生提供报考政策解读及报名指导服务,网站信息仅供学习交流使用,官方信息以湖北省教育考试院www.hbea.edu.cn为准。

湖北成教网logo

网站首页 成教政策 成教简章 成教院校 成教专业 录取分数线 成绩查询 成考视频 成教问答 网上报名
湖北成人高考报名流程
报名时间 考试时间 报名条件 报考费用 考试科目 加分政策 准考证打印 现场确认 录取查询 成教分数线 成绩查询 历年真题
快速导航关闭
招生院校
招生专业
报考指南
各地区成人高考信息汇总
真题辅导
专题
湖北成教网 > 湖北成教招生学校 > 长江大学成教 > 2022级长江大学成教新生入学资格复查不合格拟取消入学资格名单公示

2022级长江大学成教新生入学资格复查不合格拟取消入学资格名单公示

整编:湖北成教网 日期:2022-03-22 16:57:17 阅读: 交流群+
  2022级长江大学成教新生入学资格复查不合格拟取消入学资格名单公示已经公布了,长江新生在注册学籍之前会有一次入学资格审核,审核通过的同学会在学信网上注册学籍,审核不通过的同学,会被取消入学资格。
  根据《高等学校学生管理规定》(教育部令41号)、《2021年全国成人高校招生办法》、《湖北省成人高校新生入学资格复查办法》相关规定,长江大学2022级部分成教新生录取信息、身份证信息、报到现场采集信息三者比对不一致,入学资格复查不合格,学院拟对上述人员(名单附后)作取消入学资格处理,现予公示,公示期为五个工作日。
 
  如有异议,可通过电话或电子邮件等方式,向长江大学继续教育学院反映。
 
  电话:0716-8067285,0716-8067312
 
  邮箱:287417263 qq.com
 
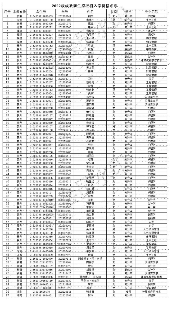
  附:2022级成教新生取消入学资格名单
 
  以上就是长江大学成教新生入学资格复查不合格拟取消入学资格名单公示的全部内容了,具体的取消入学资格名单大家可以通过附件进行下载。

小编推荐:

转载请注明:文章转载自   湖北成教网 www.hbcjw.com
本文地址:https://www.hbcjw.com/cjdxcj/15538.html

湖北成人高考提升便捷服务

湖北成教网考生微信公众号

关于我们 网站地图 网站首页

版权所有,本网站内容禁止转载

本网所提供的信息仅供学习交流使用,官方信息以湖北省教育考试院发布为准

报名地址:湖北省科技创业大厦A座2楼(武汉市武昌区洪山东区34号)

鄂公网安备:42011102001592号   鄂ICP备14009716-5号

考生在线咨询

湖北成教网微信公众号 湖北成教网微信公众号
返回顶部∧

在线咨询

考试科目

招生问答

网上报名

考 生 群

公众号